Views: 0 Author: Site Editor Publish Time: 2026-03-11 Origin: Site
As a specialist diamond tool provider, we’ve analyzed the most common hurdles our clients face. Here is your definitive guide to troubleshooting and extending the life of your core bits to lower your cost-per-hole.
The segments look intact, but the bit refuses to penetrate the material.
This is known as "glazing" or "polishing." It happens when the metal bond is too hard for the material being drilled, or there isn't enough abrasion to wear the bond away. The diamond grits become blunt and rounded rather than sharp and exposed.
Reduce the water flow and drill into a specialized Aluminum Oxide Dressing Stone or a highly abrasive material like firebrick or sandstone.
Pro Tip: If you're unsure which dressing material to use, contact us.
Violent shaking of the rig, sore hands, and out-of-round holes.
Concentricity Issues: A bent spindle on the drill motor or a damaged adapter.
Uneven Wear: One or more segments have chipped off or worn down faster than others, creating an imbalance.
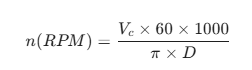
RPM Mismatch: The rotation speed isn't optimized for the bit's diameter.
The ideal peripheral cutting speed (Vc) is generally between 2–5 m/s.
Use this to find your RPM:
This is a nightmare scenario on-site, but don't panic.
Do not play "Thor" with your drill. Avoid hitting the barrel with a heavy sledgehammer or using massive pipe wrenches to force it. This will permanently deform the steel barrel.
Try to reverse the drill (if the motor allows). If it's stuck due to a jammed core or slurry, let it cool down, then use a dedicated core extraction tool or light tapping to vibrate the debris loose.
| Checkpoint | Action | Purpose |
|---|---|---|
| Threads/Interface | Apply Graphite Grease | Prevents the bit from seizing to the machine |
| Barrel Inspection | Check for "Run-out" (Wobble) | Ensures smooth cutting and prevents jamming |
| Storage | Store vertically in a dry place | Prevents rust and maintains balance |
Didn't find your answer?
content is empty!
No.351, Dingshi Jing, Shijing, Dongling Town, Huian, Quanzhou, Fujian, China
+86-595-86780371
+86-15905012435
Copyright © 2024 Huazuan Diamond Tools Co., Ltd. All rights reserved. Sitemap Privacy Policy 闽ICP备2024071061号-1